-
This is a team entry from me, George Foot, and Damyan Pepper. Still not entirely convinced we're going to do it (we're all exhausted from just finishing MotoGP!) but we have a few ideas, and it would be nice to do something different for a few days. So we're going to grab the latest version of Allegro after work today (I'm way behind as I haven't used it for nearly a year...) and see where we end up.
-
Main game loop working, object structures working, simple physics and collision checking working, level editor working (how do we do a level editor without data files, you may ask? Aha... it's all a matter of self-modifying code). We've worked out the game design, and I'm about to start on the bumpmapped lighting system.
-
It's incredible how much I've forgotten about using Allegro! I can remember all sorts of gory details about the internal workings, but keep having to check the docs for really basic stuff like what order the arguments are in for even the most common drawing functions!
At least I'm better off than Damyan, though: he's never used Allegro before this weekend.
-
Got some real graphics! We planned on 'borrowing' some photos of the MotoGP team from our real life game, to use as the enemies, which would save us a load of hassle as they are already nicely scanned in and pinked-out around the edges of the sprites (we put them in MotoGP as spectators around the edge of the training track).
But disaster struck: our network server is down at the moment (NT sucks, but thank God the CVS server runs on a Linux box so it is still ok). All the MotoGP graphics are stored on an NT share, so we couldn't get to them. Oops.
Fortunately, our local machines had converted copies of all the images in Xbox-ready format. So Damyan wrote a program that turned these back into BMP's, plus another program to turn the BMPs into source code to fit the competition rules and we are all set...
-
Got the bumpmapping working nicely - it looks great off one light source, and sort of supports multiple lights but I need to improve how it handles the direction vectors for those (how much info can you cram into 8 bits? Quite a lot it would seem...)
Starting to get some gameplay in now. George's level editor is working nicely, Damyan has got the rockets going (non-violent rockets, of course!) and the flowers are on their way.
-
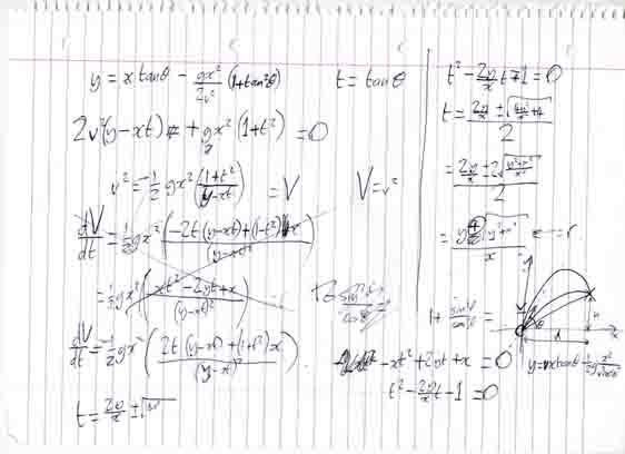
George has been scaring Damyan and me by doing weird calculus type stuff to get the enemies firing rockets at each other (working out the optimal angle and force to fire a projectile which will then be affected by gravity). People who write things like this on their notepads cannot be normal!
-
Here's a current screenshot.
The characters now shoot each other. You can shoot the rockets, and bump the rockets, and the characters die at the right times, and so on and so forth - in other words it is starting to seem quite like a (non violent, of course) game!
Damyan got his bits of simulated string in as trails on your ship, which swing about really nicely and collide with the environment and basically just look totally cool. He started playing around with this technique ages ago as a way of simulating cloth or other flexible type surfaces, but never found a chance to use it anywhere until now!
Tomorrow we need sound, particles, end of game stuff, design some proper levels, and then we're done...
-
We're done! Code upload is on it's way...
-
Here's a screenshot of the finished game - looks better in motion but you should be able to get the general idea. I've uploaded source to the competition site, will put src and a binary somewhere public tomorrow.
-
I've uploaded source and a Windows executable to http://www.talula.demon.co.uk/cupid/index.html.
Yeah, I know the zip is a bit over the 250k limit, but have no fear! We submitted our official entry version as a tar.gz, and the superior performance of gzip kept us nicely inside the threshold.